News & Events
About Rectangle and Square
- December 27, 2023
- Posted by: Singh
- Category: Uncategorized
No Comments
आयत और वर्ग से सम्बंधित ट्रिक,सूत्र और हल प्रशन (rectangle and square question tricks in hindi)
आयत-
ऐसा समान्तर चतुर्भुज जिसकी आमने सामने की भुजाएं समान्तर तथा समान हो तथा कोई दो कोण 90 अंश के हो आयत कहलाता है ।
प्रमुख सूत्र-
आयत का क्षेत्रफल = लम्बाई ×चौड़ाई
आयत का परिमाप = 2 (लम्बाई + चौड़ाई)
आयत का विकर्ण =√(लम्बाई + चौड़ाई)
आयताकार कमरे की चार दीवारों का क्षेत्रफल
= 2 × (लम्बाई + चौड़ाई) × ऊँचाई
वर्ग - वह चतुर्भुज जिसकी भुजाएं सामान हो तथा प्रत्येक कोण 90 अंश हो वर्ग कहलाता है |
प्रमुख सूत्र -
क्षेत्रफल = भुजा ^2 =1/2 (विकर्ण)^2
परिमाप = 4 ×भुजा
विकर्ण = √2 × एक भुजा
कुछ महत्वपूर्ण बाते -
किसी आयताकार या वर्गाकार मैदान के चारो ओर दौड़ने या तार बिछाने से सम्बंधित प्रश्नों में उनकी परिमाप ज्ञात करना आवश्यक होता है।
एक वर्ग तथा उसी वर्ग के विकर्ण पर खीचे गये एक अन्य वर्ग के क्षेत्रफल के बीच का अनुपात 1:2 होगा।
किसी वर्गाकार या आयताकार तार की लंबाई उस वर्ग या आयत के परिमाप के बराबर होती है।
यदि किसी आयत की लंबाई व चौड़ाई में क्रमशः x% व y% की वृद्धि कर दी जाय तो उसके क्षेत्रफल में
की वृद्धि हो जायेगी।यदि किसी आयत की लंबाई में x% की वृद्धि तथा चौड़ाई में y% की कमी कर दी जाय तो उसके क्षेत्रफल में
की वृद्धि या कमी होगी।यदि किसी आयत की लंबाई में x% की वृद्धि कर दी जाय तो उस आयत के क्षेत्रफल को मूल स्तिथि में रखने के लिए उसकी चौड़ाई में
की कमी करनी पड़ेगी।यदि दो वर्गों के क्षेत्रफल में a:b का अनुपात हो तो उन वर्गों के परिमाप में √a :√b का अनुपात होगा।
यदि किसी वर्ग की भुजा या वृत्त की त्रिज्या में x% की वृद्धि /कमी कर दी जाय तो उसके क्षेत्रफल में
की वृद्धि /कमी हो जायेगी।1.एक वर्ग जिसकी प्रत्येक भुजा 2 सेमी है के अंदर बनने वाले सबसे बड़े वृत्त का क्षेत्रफल होगा ?
हल : वर्ग की एक भुजा = 2 सेमी
वृत्त की त्रिज्या = 2/2 =1 सेमी
वर्ग का क्षेत्रफल = πr^2 =π सेमी^2
2. किसी आयत का परिमाप 50 मीटर है यदि उसकी लंबाई चौड़ाई से 13 मीटर अधिक हो तो उसका क्षेत्रफल होगा ?
हल : माना आयत की चौड़ाई =x मीटर
तब आयत की लंबाई =(x +13) मीटर
आयत की परिमिति = 2 (लंबाई + चौड़ाई)
50 = 2 (x +13 + x) = 2(2x+13) =4x+26
4x =50 -26 = 24
x = 24/4 =6 मीटर
अब आयत की लंबाई = 6 मीटर
आयत की चौड़ाई = x +13 =6+13=19 मीटर
आयत का क्षेत्रफल = 6×19 =114 मीटर ^2
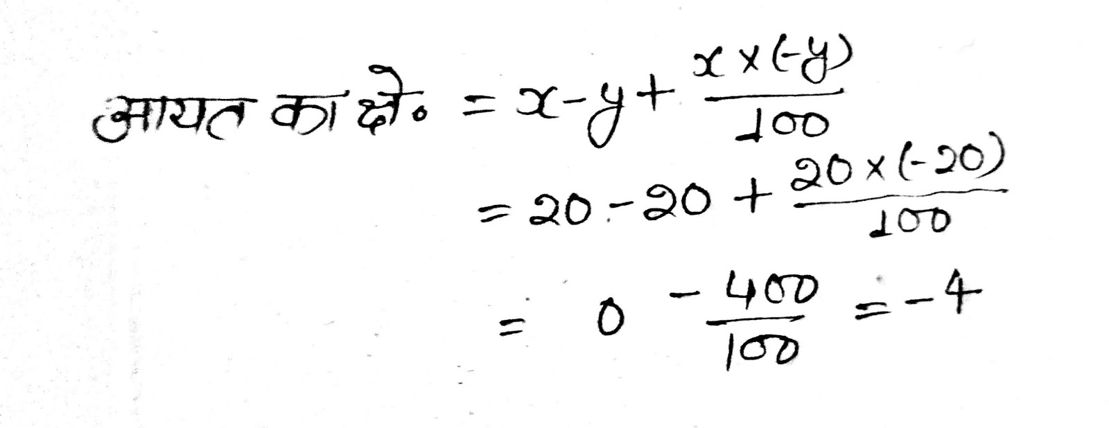
3.यदि एक आयत की लंबाई 20 % बढ़ाई जाय तथा उसकी चौड़ाई 20 % घटाई जाय तो उसका क्षेत्रफल होगा ।
हल:
ट्रिक से
4.एक आयताकार मैदान 161 मीटर लंबा तथा 136 मीटर चौड़ा है तथा इस मैदान के चारो ओर एक मार्ग बना है यदि मार्ग का कुल क्षेत्रफल 1204 मीटर ^2 है तब मार्ग की चौड़ाई है|
हल : मैदान का क्षेत्रफल = 161 × 136
=21896 cm^2
मार्ग सहित मैदान का क्षेत्रफल =(161+2x)(136+2x)
मार्ग का क्षेत्रफल =(161+2x)(136+2x) - 21896
1204=(161+2x)(136+2x) - 21896
x=2 मीटर
